当前位置:首页 >
政府信息公开 > 法定主动公开内容 > 公告公示 >
文章详情
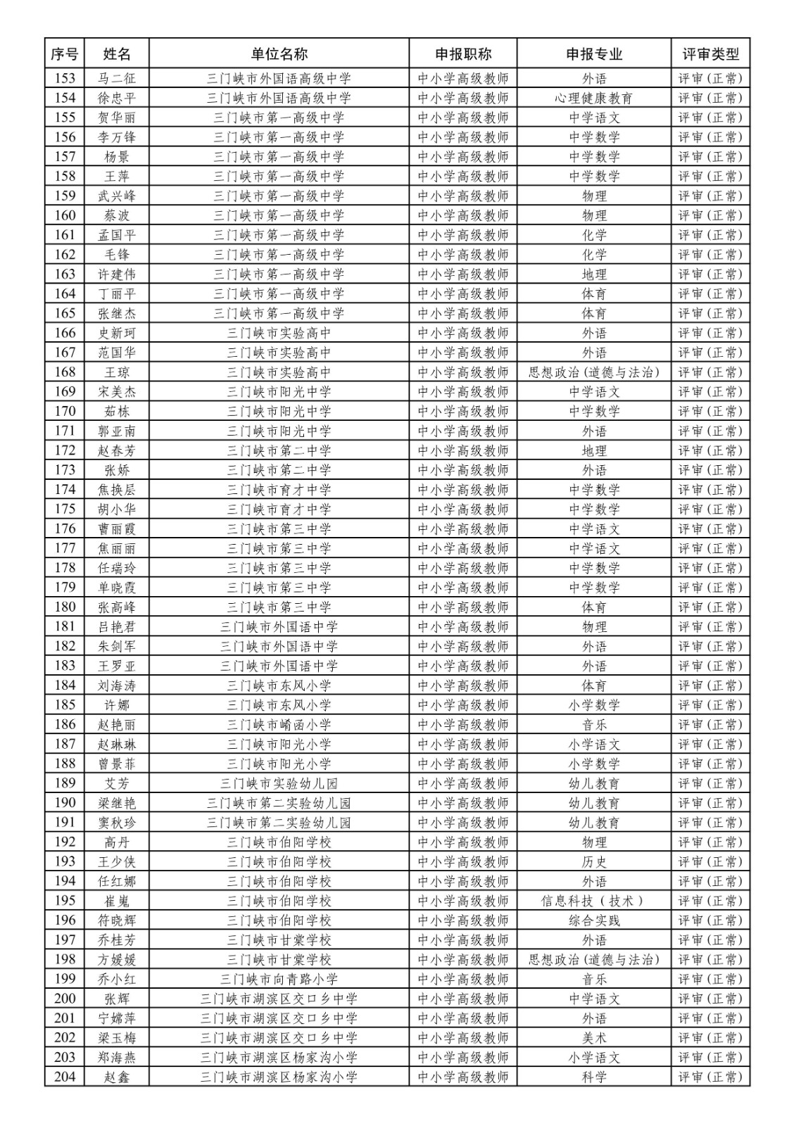
2025年度三门峡市中小学教师副高级职称评审委员会通过人员名单公示
2025年度三门峡市中小学教师副高级职称评审委员会通过人员名单公示
现将2025年度三门峡市中小学教师副高级职称评审委员会通过人员名单公示如下,请予监督。如对公示人员有问题反映,请于2026年1月22日前以书面形式反馈我们。未通过人员原因请个人登录职称申报系统查询或咨询三门峡市教育局人事科。
地 址:崤山路中段31号市教育局
联系方式:市教育局人事科2816613
附件:2025年度三门峡市中小学教师副高级职称评审委员会通过人员名单
2025年12月23日







